
Jung教授風趣地說,他開始這項研究始于17年前他55歲的時候,當時他的夫人問他你今后要干什么,和過去一樣的工作(教書、帶學生等)直到退休嗎?于是他決心在學術界嘗試做新藥,盡管他是頗有名氣的有機化學家(做有機的人應該知道他),但開始時對做藥卻幾乎一無所知,于是靠給制藥公司當了多年顧問的資歷,從制藥界拿到一點友情贊助的啟動經費,再加上和紐約MKSCC的Charles Sawyers合作,而后者很有錢,常常在關鍵時刻出手相助,說“需要什么就買吧!”。
前列腺癌是相對良性的腫瘤,其進程并不快,早期可用抗雄激素治療(去勢)是病情穩定好轉,但若干年后一旦對雄激素不敏感,病情就會惡化并致死,已有的藥物對轉移、雄激素不敏感(hormone refractory)的前列腺癌效果并不好。Sawyers教授經過對hormane refractory前列腺癌的多個蛋白進行研究后,發現雄激素受體(AR)是耐藥前列腺癌的高表達的蛋白,并于2004年在Nat. Med.上發表了他們的結果。
Jung教授基于此,把注意力放在AR為靶的藥物發現上,并考察了現有藥物和數個有代表性的藥物先導物結構(其他人報道的),發現現有藥物對AR親和力很低,而有一個RU非甾體系列結構的分子對AR作用較好,最強的比內源的睪酮和二氫睪酮的親和力還要高。
接下來他的實驗室對RU結構的一小部分進行了改造,結構并不復雜,從有機的角度看不是很困難,所采用的SAR研究也是相當常規的。但他們以AR親和力為核心,并用Sawyers教授發展的LNCap/AR的細胞系模擬高表達AR的hormane refractory前列腺癌細胞作為細胞篩選模型,然后是同一個細胞構建的裸鼠移植瘤模型,這種活性評價方法緊緊抓住問題的核心,最終找到了名為RD37的高活性分子;但該結構的藥代性質不佳,然后進行藥代優化,得到RD162的候選物分子。這些結構和前期他人報道的RU結構差距如下:

需要指出,右下角的那個環丁烷環,僅僅是為了避免侵犯RU的IP同時又能最大限度保留其作用(與AR結合)而設。最后開發成功的Xtandi(即Enzalutamide, 恩雜魯胺)分子,其結構是…

其原因顯而易見,雙甲基比環丁烷容易合成。而之所以能用這個結構,也是因為優化了右上部分(虛線橢圓)后,跳出了原有的RU系列的結構保護范圍。這個分子2012年上市,治療hormane refractory的前列腺癌,2018年又批準了其一線治療前列腺癌的適應癥。在AACR會上,還有人報告了Xtandi用于前列腺癌預防的臨床試驗,如能成功將進一步拓展其應用范圍。
補充說明一點,RD162分子的作用機制新穎,為AR入核的translocation抑制劑,該文于2009年在Science發表,化合物的優化結果則在同年的JMC發表。
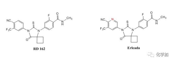
從RD系列中,Jung教授又合成了A52這個分子,最后作為AR的拮抗劑,作用稍強于Xtandi,以Erleada的名稱開發,于2018年獲批,適應癥為非轉移、去勢抵抗的前列腺癌。

故事講完了,最后分享一下心得:
這兩個新藥的骨架并非由Jung教授所發現,但他在新藥研發中注意優化成藥性的各個方面,即所謂的multimodal optimization,而這一做法的重要性也可被本世紀初和2010年前后兩篇NRDD的對制藥工業的新藥研發成功率影響因素的回顧性文章所證實。雖然Jung教授是有機出身,但他并沒有在有機上“炫技”,而是踏踏實實地按照藥化規律去做課題,這是有機化學家可以從中學習的。
再一點值得強調的是:他有一個非常出色的生物學合作者Sawyers,是Imatinib(即Gleveec)和第二代Dasatinib的發明者之一,當然也是Xatandi的共同發現者,美國的三院院士(Science, Medicine, Arts & Sciences)。作為抗前列腺癌新藥,這個課題的起點就有明確的生物學導向,在過程中又有新穎的生物學評價模型,最后得以成藥的分子又被發現具有新穎的作用機理,這幾點都是藥物候選物能夠推進、獲得制藥公司/風險資本的青睞和介入、直至最后成功上市不可或缺的因素。
來源 | 分子間的斗爭(ID:molwar2019),化學加經授權轉載
聲明:化學加刊發或者轉載此文只是出于傳遞、分享更多信息之目的,并不意味認同其觀點或證實其描述。若有來源標注錯誤或侵犯了您的合法權益,請作者持權屬證明與本網聯系,我們將及時更正、刪除,謝謝。 電話:18676881059,郵箱:gongjian@huaxuejia.cn